所屬科目:中山◆資工◆工程數學
1. Solve the general and particular solutions of the following ordinary differential equation(ODE).y'cos2 x+3y=1,
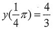
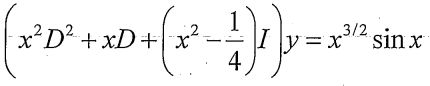
2. Solve the given nonhomogeneous linear ODE only by the method of variation of parameter. Show the details of your work. [Hint : use y = u ㆍ]
3.Find the coefficient of Fourier secries in the signal [Note: the coefficient of each Fourier series can be represented in the fractional form.]