阿摩線上測驗
登入
首頁
>
中山◆資工◆工程數學
>
104年 - 104 國立中山大學_碩士班招生考試_資工系(乙組):工程數學#105843
> 申論題
申論題
試卷:104年 - 104 國立中山大學_碩士班招生考試_資工系(乙組):工程數學#105843
科目:中山◆資工◆工程數學
年份:104年
排序:0
申論題資訊
試卷:
104年 - 104 國立中山大學_碩士班招生考試_資工系(乙組):工程數學#105843
科目:
中山◆資工◆工程數學
年份:
104年
排序:
0
題組內容
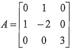
5. The matrix
申論題內容
5.1 Please find the eigenvalues.