所屬科目:研究所、轉學考(插大)-微積分
(a)
(b) , k is a constant and k>0
(b)
(c)
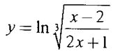
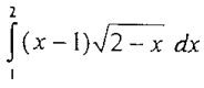
(a) (5%)
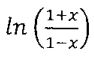
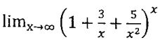
(b)(5%) .
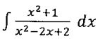
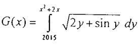
(c)(5%)
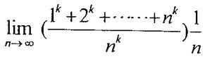
(d)(5%)
(b)(5%)
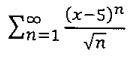
7. Find the interval of convergence for the power series (7%)
8. Find a power series representation for and specify the radius of convergence.( 8%)