所屬科目:研究所、轉學考(插大)-微積分
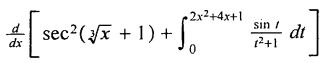
1.=?
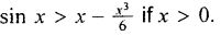
2. Show that
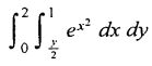
4.=?
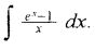
5.=?
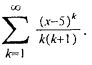
7. Determine the interval of convergence for the series
8. Find a power series representation of