所屬科目:研究所、轉學考(插大)-微積分
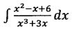
(a) with y as the variable of the integration, ie write. (5%)
(b) with x as the variable of the integration, ie write (5%)
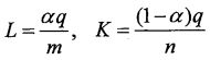
2.(20%) The Cobb-Douglas Model for the production function is P=bLaK1-a , where b and a are positive constants and a <1. We want to maximize the production Pwith the constraint that mL+nK =q, where m, n and q are positive constants. Show that the maximum production occurs when
(a)
(b)
(c)
(d)
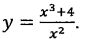
5. (20%)Please sketch the curve y = . (You must describe the domain, intercepts, symmetry, asymptotes, interval of increasing or decreasing, local maximum and minimum values, and concavity and points of inflection.)
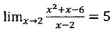
6.(5%)Prove using the ε,δ definition of a limit.
7. (5%)Find if ycosx = 1 + sin(xy).