所屬科目:研究所、轉學考(插大)-微積分
(a)
(b)
(c)
(d)If f(x)+x2[f(x)]3=10 and f(1)=2,f'(1) =?
(e)
(f)
(g)
(h)
(a) Approximate the function f(x)= by a Taylor polynomial of degree 2 centered at 8.
(b) Find the gradient of f(x,y)=xy2+y ln x at the point (1, 2).
(c) Find the shortest distance from the point (1, 0,-2) to the plane x+2y+z=4.
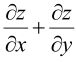
(d) If z=f(x-y),=?
(e)=?
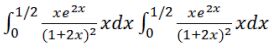
二、計算題 1.If the following integral represents the volume of a solid, describe the solid.
2.Find the arc length function for the curve y= taking P0(1,1) P0(1,1) as the starting point.