所屬科目:研究所、轉學考(插大)-微積分
1.y=在靠近x=0時的形最接近底下那個圖形:
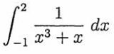
3. =______
4.=______
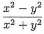
5. f(x,y) =,在(-1,1)點的所有方向導數(directional derivative) 最大值是________
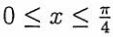
7.y=tanx,與x軸所夾區域繞x-軸旋轉的旋轉體體積=________
8.=______
11.計算題:求