所屬科目:研究所、轉學考(插大)-微積分
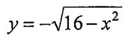
1. A rectangle is bounded by the x-axis and the semicircle. What width and length should the rectangle have so that its area is a maximum? ( 10 分)
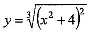
3. Find an equation of the tangent line to the graph of at x=2. (10分)
4. Evaluate the integral, ∫(x2 -2)exp(x3 -6x)dx, in which exp(●) denotes the natural exponential function.(10 分)
6. Find the Taylor series of the function f(x)=In(x) about x=1, in which In(●) denotes the natural logarithmic function. Moreover, find the radius of convergence and the interval of convergence for this series.(10分)
7. Evaluate the integral, exp(-x)sin(x)dx.(10分)
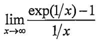
9. Find. (10分)
10. Evaluate the integral, cos(2nx) sin(x)dx, where n is an integer. (10 分)