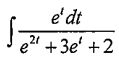
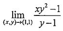
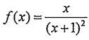
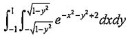
所屬科目:研究所、轉學考(插大)-微積分
(a)
(b)
(a) (12 分) Sketch the graph of the function by finding all asymptotes, interval of increasing and decreasing, and interval of concavity.
(b) (2 分) Show that f(x) ≤ for x ≥ 0.