所屬科目:研究所、轉學考(插大)-微積分
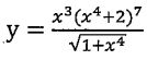
(4) (8 points)
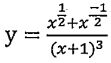
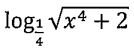
(5) (8 points)
(6) (10 points)
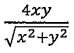
(2) dx (8 points)
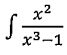
(3) dx (8 points)
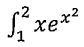
(4) xe-y dx dy (8 points)
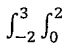
(5) ∬Rx2e-ydx dy, R = {(x, y) |1 ≤ x ≤ , 1 ≤ y ≤ 4} (10 points)