所屬科目:研究所、轉學考(插大)-微積分
3. 2x+xy2+y=5. Find tangent line slope of the equation at the point (1, 1).
4. Find sec t dt ].
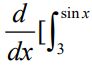
5. Find dx.
6. Find .
7. ∫(sec2x )(tan3x )dx.
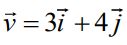
10. Find the divergence of f(x,y,z)= at (1, 1, 1).