阿摩線上測驗
登入
首頁
>
技師◆化工熱力學
> 104年 - 104 專技高考_化學工程技師:化工熱力學#41534
104年 - 104 專技高考_化學工程技師:化工熱力學#41534
科目:
技師◆化工熱力學 |
年份:
104年 |
選擇題數:
0 |
申論題數:
15
試卷資訊
所屬科目:
技師◆化工熱力學
選擇題 (0)
申論題 (15)
⑴請針對一開放系統(open system)列出完整的能量平衡通式(微分式),並分別 說明式中各項的物理意義,其中功的交互作用(work interactions),共包含三種 不同的類型,也需分項列出,並逐一說明。(12 分)
⑵請以熱力學第二定律來解釋如下之現象:排列骨牌需耗費相當多的時間與精力; 但骨牌傾倒只在瞬間,且不太費力。(5 分)
⑴容器的總體積與容器內的溫度各為何?(6 分)
【已刪除】 ⑵此濕蒸氣單位重量之熱焓(
)值為何?(6 分)
【已刪除】 ⑶當壓力為 2.0 MPa 的飽和水汽化為飽和蒸汽時,其莫耳熵(molar entropy,
S
)與 莫耳 Gibbs 自由能(
G
)的變化量各為何?(6 分)
T, V, S, U 分別為溫度、比容、熵、內能;上標 L 與 V 分別代表飽和液相與飽 和汽相。水的分子量為 18.015 g/mol。
⑴請以熱力學的知識詳細說明業者誤判管線無洩漏的關鍵因素為何?此事件出現的 「魔術數字」13.5 kg/cm
2
其物理意義為何?(10 分)
⑵對於該丙烯輸送管,正確的保壓測試應該如何做,請詳細說明。(5 分)
⑶如果管線輸送的是甲烷(天然氣主要成分),當管線有洩漏,在進行保壓測試時 其情況與丙烯有何不同,請詳細說明。(5 分)
物性資料:
丙烯:臨界溫度=364.9 K;臨界壓力=46 bar;臨界體積=181 cm
3
/mol
甲烷:臨界溫度=190.4 K;臨界壓力=46 bar;臨界體積=99.2 cm
3
/mol
⑴鋼瓶內氮氣的溫度。(5 分)
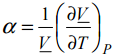
【已刪除】 ⑵該氣體之熱膨脹係數α(coefficient of thermal expansion)。(8 分) 參考資料: van der Waals 狀態方程式
熱膨脹係數的定義
已知氮氣之 T
c
=126.2 K,P
c
=33.9 bar,R=8.31439 J mol
-1
K
-1
=83.1439 bar cm
3
mol
-1
K
-1
。
⑴請先分別計算純水與純乙醇在 25℃且 1 atm 下的莫耳體積(molar volume)。 (5 分)
⑵假設 58 度之高梁酒是由純水(成分 1)與純乙醇(成分 2)以體積比 42:58 調 製而成,請估算該酒品中乙醇所占有的莫耳分率(x
2
)。(5 分)
【已刪除】 ⑶由於混合前後體積會有所變化,經由實驗量測得知在 25℃且 1 atm 下,水與乙醇 混合後的莫耳過剩體積(
V
ex
,molar excess volume)與組成(x
1
,水的莫耳分 率)的關係為:
上式之適用範圍 0.6<x
1
<0.9。請估算一瓶 0.75 L 的 58 度高粱酒中含有乙醇的重 量。(10 分)
物性資料: 純水與純乙醇在 25℃且 1 atm 下的密度值分別為 0.99705 g/cm
3
與 0.78546 g/cm
3
; 水與乙醇的分子量分別為 18.015 g/mol 與 46.069 g/mol。
⑴請由汽液相平衡關係式出發,逐步推導出最簡化的汽液平衡關係式( Raoult’s law),式中須包含系統之溫度( T)、壓力( P)、汽相組成(y
i
)、液相組成 (x
i
)。推導過程中也請同時逐步將每一假設列出。(5 分)
【已刪除】 ⑵請估算桶內汽相中苯之莫耳百分率。(7 分)
參考資料:
飽和蒸汽壓 P
S
與溫度 T 之關係式:Antoine 方程式
成分 1 水:A=8.10765;B=1750.286;C=-38.150
成分 2 苯:A=6.89272;B=1203.531;C=-53.262
分子量:苯:78.114 g/mol;水:18.015 g/mol