所屬科目:研究所、轉學考(插大)-微積分
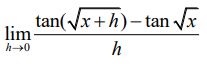
(a)
(b)
(c)
(c) Let w=f(r2-s2,s2-r2) where f is differentiable . Find.
3. Find the equation of the tangent line to the curve =2 at the point(-1,1) .
(d)
6. Find the area of the surface obtained by revolving the graph y= , 0≤x≤2 , about the x -axis.
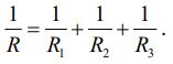
7. The total resistance R (in ohms) of three resisters with resistances of R1, R2, and R3 ohms connected in parallel to given by the formula Find ∂R /∂R1,and interpret your result.