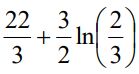
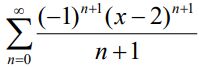
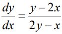
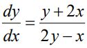
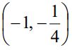
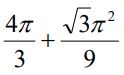
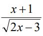
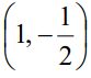
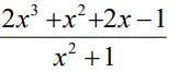
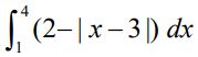
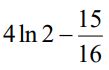
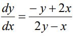
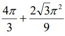
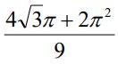
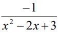
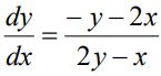
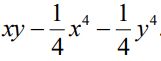
16. Find the relative extrema and saddle points of the function f(x,y)=
. (A) Relative maximum at
Saddle point at (0, 0, 0). (B) Relative minimum at
Saddle point at (0, 0, 0). (C) Relative maximum at (0, 0, 0). Saddle point at
(D) Relative minimum at (0, 0, 0). Saddle point at
(E) None of these