阿摩線上測驗
登入
首頁
>
研究所、轉學考(插大)-微積分
> 104年 - 104 淡江大學 轉學考 微積分#53341
104年 - 104 淡江大學 轉學考 微積分#53341
科目:
研究所、轉學考(插大)-微積分 |
年份:
104年 |
選擇題數:
0 |
申論題數:
10
試卷資訊
所屬科目:
研究所、轉學考(插大)-微積分
選擇題 (0)
申論題 (10)
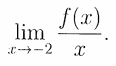
【已刪除】(a) Find the limit
if it exists
【已刪除】(b)
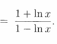
【已刪除】 (a) Find f'(x) if f(x)
【已刪除】(b) Find dy/dx;
1+
x
2
y
2
【已刪除】3. (15%) Determine where the function
is increasing and de x2 + 3 creasing, and where its graph is concave up and concave down. Find the relative extrema, inflection points and asymptotes. Sketch the graph of the function.
【已刪除】(a)
【已刪除】(b)
【已刪除】5.(10分)Determine whether the integral
dx is convergent or di- vergent. Evaluate it if it is convergent.
6.(10%) Find the average value of /(x, y) = xy over the given region D, where D is the triangle with vertices (0, 0), (1, 0) and (1, 3).
7.(15%) Find the maximum and minimum values of f(x,y) = e
xy
subject to x
2
+ y
2
= 4.
相關試卷
114年 - 114 臺灣綜合大學系統_學士班轉學生考試試題:微積分A#137897
114年 · #137897
114年 - 114 臺灣綜合大學系統_學士班轉學生考試試題:微積分B#137819
114年 · #137819
114年 - 114 台灣聯合大學系統_學士班轉學生考試試題:微積分#137762
114年 · #137762
114年 - 114 台灣聯合大學系統_學士班轉學生考試試題:微積分#137761
114年 · #137761
114年 - 114 國立臺灣大學_轉學生招生考試_物理學系/土木工程學系/生物環境系統工程學系/生物機電工程學系:微積分(B)#137745
114年 · #137745
114年 - 114 國立臺灣大學_轉學生招生考試_數學系:微積分(A)#137744
114年 · #137744
113年 - 113 國立嘉義大學_轉學生招生考試試題_(全校):微積分#122986
113年 · #122986
112年 - 112 國立臺灣大學_碩士班招生考試題:微積分(D)#130254
112年 · #130254
112年 - 112 國立陽明交通大學_碩士班入學招生試題_統計學研究所﹕微積分與線性代數#130252
112年 · #130252
112年 - 112 國立嘉義大學_轉學生招生考試試題:微積分#123297
112年 · #123297