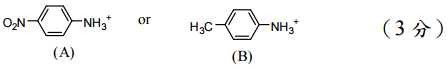
(二)C8H9NO2 本化合物不溶於水,亦不溶於氫氧化鈉水溶液,但是可溶於 10%鹽酸水溶液,當 其鹽酸水溶液用氫氧化鈉中和後,可回復此化合物。(This compound is insoluble in water and aqueous NaOH, but dissolves in 10% HCl. When its solution in HCl is neutralized with NaOH, compound is recovered unchanged.)1H-NMR(δ):3.84(s,3H), 4.18(s,2H),7.60(d,2H),8.70(d,2H).