阿摩線上測驗
登入
首頁
>
有機化學
>
104年 - 104 調查特種考試_三等_化學鑑識組、醫學鑑識組:有機化學#41822
> 申論題
申論題
試卷:104年 - 104 調查特種考試_三等_化學鑑識組、醫學鑑識組:有機化學#41822
科目:有機化學
年份:104年
排序:0
申論題資訊
試卷:
104年 - 104 調查特種考試_三等_化學鑑識組、醫學鑑識組:有機化學#41822
科目:
有機化學
年份:
104年
排序:
0
題組內容
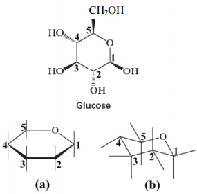
九、下列是葡萄糖的結構:(每小題 5 分,共 10 分)
申論題內容
(一)請將其轉晝成平面六角形(a)。