阿摩線上測驗
登入
首頁
>
工程數學(應用數學, 線性代數、微分方程、複變函數與機率)
> 104年 - 104 身心障礙特種考試_三等_電力工程:工程數學#22698
104年 - 104 身心障礙特種考試_三等_電力工程:工程數學#22698
科目:
工程數學(應用數學, 線性代數、微分方程、複變函數與機率) |
年份:
104年 |
選擇題數:
20 |
申論題數:
9
試卷資訊
所屬科目:
工程數學(應用數學, 線性代數、微分方程、複變函數與機率)
選擇題 (20)
1 令 F,G,H 為向量,α,β 為常數,則下列敘述何者錯誤? (A)F+G = G+F (B)(F+G)+H = F+(G+H) (C)F× G = G× F (D)(αβ)F = α(βF)
2 向量場 F=xyi+(zx-sin(y))j+yzk 在點 P=( −1, 0, 1)的散度(divergence)為何? (A) − √2 (B) −1 (C)1 (D) √10 /3
3 若 A 為一向量,f 為一純量,則下列敘述何者錯誤? (A)∇ ⋅(∇ × A) = 0 (B)∇ × (∇
f
) = 0 (C) ∇ ⋅( fA) = f (∇ ⋅ A) + A ⋅∇
f
(D)∇× ( fA) = A ×∇f + f ∇× A
4 F 為一曲線之位置函數。若 F 為二次可微分,則其曲度(curvature)可寫成:
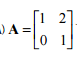
5 已知
,求行列式
之值為何? (A)1 (B)3 (C)4 (D)6
6 若矩陣 A 的特徵值(eigenvalue)為 1, −1, 1,且 I 代表單位矩陣,則(2A+I)A(A+2I)特徵值為何? (A)8, 2, 8 (B)9, 1, 9 (C)7, −1, 10 (D)1, −1, 1
7 下列敘述何者正確? (A)
可以被對角化 (B)令
,x ,則 A 對應 x 的特徵值為 1 (C)令
,則 A 的特徵值為 4, 2, − 2 (D)令
,則 A 的特徵值為 4, − 2 , − 2
8 級數
之收斂半徑 R 之值為何?(其中
) (A) 1/4 (B)1/2 (C) 3/4 (D)4
9 假設 C 為沿著逆時針方向繞圓周
,試求積分
為何?
10 已知複數數列{z
n
} 及
皆為收斂,且其極限值(limits)分別為 c 及
,則下列敘述何者錯誤? (A)數列{z
n
+
} 為收斂,且其極限值為 c+
(B)數列{z
n
} 為收斂,且其極限值為 c
(C)若
,則ˆ
,其中 k 為任意實數 (D)若c =
,則 {z
n
} =
11 若
之解,且m ≠ n ,則m + n 之值為何?其中 a, b, m, n 為常數,
,
。 (A) − 6 (B) − 2 (C) −1 (D)1
12
。以
解之,則
=? (A)1 (B) 3/2 (C)2 (D) 5/2
13 下列何者為微分方程式
的解?其中 C1及 C2為任意常數,Jv(x)及 Yv(x)分別為第一 類型及第二類型之 v 階 Bessel 函數。
14
,則 f (t) =?
15 令
,而 f(t) = L
−1
( F( s )) ,則
之值為何? (A)0 (B) 1/18 (C)1 (D)∞
16 下列何者為線性微分方程式?
17 4 個家庭,每個家庭皆有 3 個小孩,試求至少有 3 個家庭剛好擁有 2 個女孩之機率為何?(假設小孩是男 孩或女孩的機率各為 1/2)
18 二枚錢幣投擲出現正面之機率分別為 1/3及 1/5 ,若隨機選擇出一枚錢幣並投擲二次,試求二次皆出現正面 之機率為何? (A) 1/30 (B) 1/15 (C) 17/225(D) 4/15
19 一容器中有 10 顆完全一樣的球分別標示為 0, 1, 2,…, 9,隨機從容器中取出一顆球並記下其標示之號碼, 該號碼為奇數或 3 的倍數之機率為何? (A) 1/5 (B) 2/5 (C) 3/5 (D) 4/5
20 令隨機變數 X 的累積分布為
,請問下列敘述何者錯誤? (A) P(0 < x ≤ 2) = 5/ 7 (B) P(X =1) = 4/ 7 (C) P(X ≤ 0) = 2/ 7 (D) P(X ≤1) = 2/ 7
申論題 (9)
【已刪除】一、試利用拉氏轉換(Laplace transform)求解:(10 分)
(一)試建構矩陣 A 之一組特徵基底(eigenbasis)。
【已刪除】(二)若
,試求其穩態值,即
(一)邊際機率密度函數(marginal probability density function) f
X
(x) =?
(二) f
Y/X
( y/x )=?
(三)機率P(Y ≤ 0.1| X = 0.5)為何?
【已刪除】(一)列出路徑 C 之參數表示式(parametric representation)
。
【已刪除】(二)依上述之參數表示式,算出施力
於路徑 C 中所作的功(work):
。
【已刪除】(三)已知此向量
可以用「純量 f (x,y,z)的梯度(gradient)」表示之,試找出 f (x,y,z)。
相關試卷
114年 - 114 專技高考_電機工程技師:工程數學(包括線性代數、微分方程、複變函數與機率)#133679
114年 · #133679
114年 - 114 專技高考_電子工程技師:工程數學(包括線性代數、微分方程、向量分析、複變函數與機率)#133677
114年 · #133677
114年 - 114 調查特種考試_三等_電子科學組:工程數學#129578
114年 · #129578
114年 - 114 國家安全情報特種考試_三等_電子組(選試英文):工程數學#127780
114年 · #127780
113年 - 113 專技高考_電子工程技師:工程數學(包括線性代數、微分方程、向量分析、複變函數與機率)#123976
113年 · #123976
113年 - 113 專技高考_電機工程技師:工程數學(包括線性代數、微分方程、複變函數與機率)#123971
113年 · #123971
113年 - 113 調查特種考試_三等_電子科學組:工程數學#122110
113年 · #122110
113年 - 113 身心障礙特種考試_三等_電力工程:工程數學#119517
113年 · #119517
112年 - 112 地方政府特種考試_三等_電力工程、電子工程:工程數學#118376
112年 · #118376
112年 - 112 專技高考_電機工程技師:工程數學(包括線性代數、微分方程、複變函數與機率)#117639
112年 · #117639