阿摩線上測驗
登入
首頁
>
工程數學(應用數學, 線性代數、微分方程、複變函數與機率)
>
104年 - 104 身心障礙特種考試_三等_電力工程:工程數學#22698
> 申論題
申論題
試卷:104年 - 104 身心障礙特種考試_三等_電力工程:工程數學#22698
科目:工程數學(應用數學, 線性代數、微分方程、複變函數與機率)
年份:104年
排序:0
申論題資訊
試卷:
104年 - 104 身心障礙特種考試_三等_電力工程:工程數學#22698
科目:
工程數學(應用數學, 線性代數、微分方程、複變函數與機率)
年份:
104年
排序:
0
題組內容
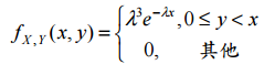
三、隨機變數 X、Y 之結合機率密度函數(joint probability density function)為
,試求:(每小題 5 分,共 15 分)
申論題內容
(一)邊際機率密度函數(marginal probability density function) f
X
(x) =?