阿摩線上測驗
登入
首頁
>
公職 - 藥理學與藥物化學
> 104年 - 104 高等考試_三級_藥事:藥理學與藥物化學#42688
104年 - 104 高等考試_三級_藥事:藥理學與藥物化學#42688
科目:
公職 - 藥理學與藥物化學 |
年份:
104年 |
選擇題數:
0 |
申論題數:
11
試卷資訊
所屬科目:
公職 - 藥理學與藥物化學
選擇題 (0)
申論題 (11)
一、非細菌性感染所引起的腹瀉,首選的治療藥物為何?請說明其作用機轉。(10 分)
二、目前治療氣喘所使用的氣管舒張劑有那些?副作用分別為何?(10 分)
三、請寫出五種 vasodilators 的降血壓藥物,並說明其作用機轉。(10 分)
四、請說明下列藥物 furosemide、 omeprazole、 tropicamide、 clopidogrel、 selegiline、 ondansetron、colchicine 及 tolbutamide 的作用機轉和用途。(16 分)
五、請說明下列藥物 paracetamol(acetaminophen)、opioids、iron 及有機磷農藥中毒時的 解毒劑為何?(4 分)
⑴請敘述其作用機制,並標出與其作用相關之重要部位。(5 分)
⑵ bleomycin 在細胞內會經 bleomycin hydrase 催化進行如下圖之反應,請說明此反 應對 bleomycin 的物化特性及抗癌活性會有何影響?(3 分) + -
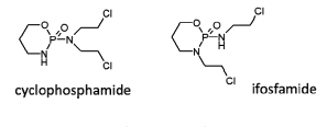
【已刪除】七、cyclophosphamide 和 ifosfamide 都屬於 nitrogen mustard 類抗癌藥物。試就兩者結構 差異解釋為何 ifosfamide 造成膀胱(bladder toxicity)及腎毒性(nephrotoxicity)的 風險較 cyclophosphamide 為大。(5 分)
⑴請註明是否為前驅藥物(prodrug)?若為前驅藥物,請畫出其活性型(active form)結構。(9 分)
⑵請寫出其藥品設計原理,並由結構推出藥品對其標的酵素之抑制機制,[(如對 特定受質而言(請標明)為競爭性抑制(competitive inhibition)、對特定受質而 言(請標明)為非競爭性抑制(noncompetitive inhibition)、或為機制型抑制 (mechanism-based inhibition)等)];若為機制型抑制劑,請繪圖說明其作用 機制。(單一藥物 6 分,共 18 分)
【已刪除】九、請說明 HIV 蛋白酶抑制劑類藥物之設計原理,並請標出 ritonavir 結構中與活性相關 之重要部位。(10 分)
相關試卷
106年 - 106 關務特種考試_三等_藥事:藥理學與藥物化學#61456
106年 · #61456
105年 - 105 高等考試_三級_藥事:藥理學與藥物化學#54256
105年 · #54256
105年 - 105 關務特種考試_三等_藥事:藥理學與藥物化學#50114
105年 · #50114
104年 - 104 公務升官等考試_簡任_藥事:藥理學與藥物化學研究#41961
104年 · #41961
104年 - 104 公務升官等考試_薦任_藥事:藥理學與藥物化學#41117
104年 · #41117
104年 - 104 關務特種考試_三等_藥事:藥理學與藥物化學#22674
104年 · #22674
103年 - 103 關務特種考試_三等_藥事:藥理學與藥物化學(重複)#44001
103年 · #44001
103年 - 103 高等考試_三級_藥事:藥理學與藥物化學#43442
103年 · #43442
103年 - 103 關務特種考試_三等_藥事:藥理學與藥物化學#15776
103年 · #15776
102年 - 102 高等考試_三級_藥事:藥理學與藥物化學#44124
102年 · #44124