阿摩線上測驗
登入
首頁
>
公職 - 藥理學與藥物化學
>
104年 - 104 高等考試_三級_藥事:藥理學與藥物化學#42688
> 申論題
申論題
試卷:104年 - 104 高等考試_三級_藥事:藥理學與藥物化學#42688
科目:公職 - 藥理學與藥物化學
年份:104年
排序:0
申論題資訊
試卷:
104年 - 104 高等考試_三級_藥事:藥理學與藥物化學#42688
科目:
公職 - 藥理學與藥物化學
年份:
104年
排序:
0
題組內容
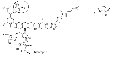
六、關於 bleomycin:
申論題內容
⑴請敘述其作用機制,並標出與其作用相關之重要部位。(5 分)
詳解 (共 1 筆)
詳解
提供者:Emma
一群含銅的蛋白脂混合物glycopepetide 會與DNA.Fe2+形成複合物 氧化成3+,放出自由電子攻擊DNA上的PDEase, 單股斷!