所屬科目:研究所、轉學考(插大)-微積分
(b) Find all relative extreme values of .(10%)
(a) Evaluate cos(nπx) dx. (10%)
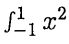
(b) Evaluate dt.(10%)
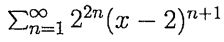
(b) Determine the radius of convergence of the power series . (10%)
(b) Find the absolute maximum and minimum values of f(x,y) =2x2-4x+2y2-4y + 6 on the disk x2+ y2≤4. (10%)
(a) Let E = {(x,y)|0≤x≤1, 0≤y≤1,0≤x2+y2≤1).Evaluate the double integral ∫ ∫E xy dA. (10%)
(b) Find the work done by the force field F(x, y) = x2i - yj in moving (10%) a particle along the curve r(t)= (t,t2), O≤ t≤2.