所屬科目:研究所、轉學考(插大)-微積分
(c) at the point (2,1), if x²y² – xy² +3y = 5.
(a)
(b)
(c)
(d)
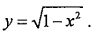
(e)dxdy, where R is the semicircular region bounded by the x-axis and the curve.
(a) Please give a reason to show that 2πxcosx dx . (5 points)
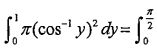
(b) Evaluate the definite integral I =dy. (5 points)
(b) Iff(t) dt from 0 to x² equals x cos(x) for all real number x, calculate the value of f(4). (5 points)
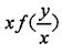
6. (10 points) Let ƒ be a differentiable function with f(1) = 9. Find the tangent plane of the surface z = xfat the point (1, 1, 9).
(a) Find the direction in which f(x, y) increases most rapidly at the point P. (5 points)
(b) Is the gradientnormal to the level curve f(x, y) = 1? Please show your answer. (5 points)
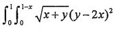
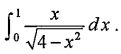
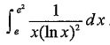
8.Evaluate the integral (10 points)