所屬科目:身心障礙升大專-物理
1. 下列有關於物理量單位的敘述,何者正確? (A)電流的單位為庫侖 (B)動量的單位為 公斤 公尺 / 秒 (C)能量的單位為公斤 公尺2 / 秒(D)衝量單位為公斤公尺 / 秒2
3. 馬戲團特技表演節目中,有一騎士在一巨大透明的空心球殼內部騎摩托車沿 鉛垂面作圓周運動。已知騎士及摩托車的總質量為 M,空心球殼的內徑為 R, 重力加速度為 g,且因 R 值很大可將騎士及摩托車系統視為質點。若騎士要 在球殼頂端安全的通過,則此處之車速最少需為若干? (A) R Mg (B) Rg (C)(D)
7. 一質量為 5.0 kg 的重物,受一量值固定為 60 N 的水平力作用,在水平地面 由靜止移動了 4.0 m 的距離。已知重物與地面間的動摩擦係數為 0.40,若取 重力加速度為,則重物的末速為多少 m/s? (A)8.0 (B) 16 (C) 32 (D) 64
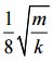
10. 力常數為 k 的彈簧一端固定,另一端繫一質量為 m 的小方塊,於光滑水平 面進行簡諧運動。在經過平衡點多少時間之後,小方塊與平衡點的距離可 達振幅的? (A) (B) (C) (D)
13. 兩個質量皆為 m 的質點,繞連線的中垂線以半徑 r 作等速率圓周運動,相互 環繞。如果它們的切線速率都是 v,則此兩質點系統相對於質心的總角動量 量值為下列何者? (A) mvr (B) 2mvr (C) (D)
16. 已知氫的分子量為 2,氧的分子量為 32,則在同樣的大氣環境下,氫分子 的方均根速率是氧分子的多少倍? (A) (B) (C) 4 (D) 16
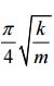
17. 一條兩端固定的琴弦長度為 L。已知此弦波的傳播速率為 v,則該琴弦可發 出的最低頻率為下列何者? (A) (B) (C) (D)
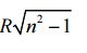
18. 黑暗的深夜時,水面下有一個點光源,其光線照射出水面的範圍,在水面上 為一個半徑為 R 的圓形區域。已知水相對於空氣的折射率為 n,則該點光源 在水面下的深度為下列何者? (A) (B) (C) (D)
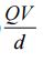
20. 水平置放的兩片平行金屬板間距為 d ,兩板之間有一帶電量為 +Q 的小質點。 當兩金屬板的電位差為 V 且下板的電位高於上板時,觀察到小質點在平行板 間恰好靜止不動,則帶電小質點的重量為下列何者? (A) (B) (C) (D) QVd