所屬科目:研究所、轉學考(插大)-微積分
1. 求=_________。
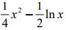
2. 求函數F(x) =在 (2,0) 的切線斜率為_________。
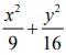
3. 假設 x2 + y2 = 25, 求=__________。
4. 假設f(x) =, 且為 f(x) 的反函數,求導數=__________。
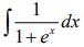
5. 求=__________。
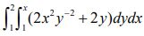
6. 求=__________。
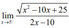
7. 函數 y =在 1≤ x ≤ 2 的弧長為__________。
8. 求=__________。
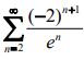
9. 求=_________。
10. 求=__________。
二、計算題: 1. 求出由 x = 9 與 x = (y - 1)2 所圍成之區域繞 y = 5 旋轉所形成的旋轉體之體積。
2. 求出那些 x 值使得冪級數收斂,並說明你的理由。
3. 求 f(x, y) = 4xy 在滿足 x > 0, y > 0, 以及= 1的條件下之最大值。
4. 求f(x) = sinx 以 x = 0 為中心的泰勒級數。