所屬科目:研究所、轉學考(插大)-微積分
1. Find the derivative of f(x) = (3x - 2x²)(5 + 4x).
2. Find the Maclaurin series of f(x) = sinx².
3. Find the derivative of f(x) =.
4. Find the extreme of f(x) = 3x⁴ - 4x³ on the interval [-1, 2].
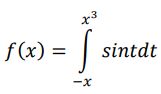
5. Find the derivative of
6. Find ∫ sin² 3xcos3x dx
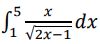
7. Find
8. Find the area of the region bounded by the graph of y = ,the x-axis and the line x = 3.
9. Find ∫ x²sinxdx
10.Find