阿摩線上測驗
登入
首頁
>
研究所、轉學考(插大)-微積分
> 105年 - 105 國立暨南大學轉學生招生考試試題_資工系、應化系、土木系、電機系︰微積分#123448
105年 - 105 國立暨南大學轉學生招生考試試題_資工系、應化系、土木系、電機系︰微積分#123448
科目:
研究所、轉學考(插大)-微積分 |
年份:
105年 |
選擇題數:
0 |
申論題數:
18
試卷資訊
所屬科目:
研究所、轉學考(插大)-微積分
選擇題 (0)
申論題 (18)
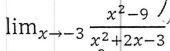
(a)
=
(b) If p is a polynomial, then lim
x→b
p(x) = p(b).
(c) If f'(r) exists, then lim
x→r
f(x) = f(r).
(d)
(e) If f and g are increasing on an interval I, then fg is increasing on I.
(a) lim
t→0
- g(t)
(b) lim
t→0
+ g(t)
(c) lim
t→0
g(t)
(d) g(2)
(e) lim
t→4
g(t)
3. (10%) Show that lim
x→0
x
2
sin
= 0.
(a)
(b)
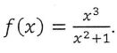
5. (15%) Sketch the graph of
(a)
x(2 + x
5
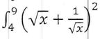
) dx
(b)
dx
7. (10%) The region R enclosed by the curves y = x and y = x
2
is rotated about the x-axis. Find the volume of the resulting solid.
8. (15%) A group of engineers is building a parabolic satellite dish whose shape will be formed by rotating the curve y = ax
2
about the y-axis. If the dish is to have a 10-ft diameter and a maximum depth of 2 ft, find the value of a and the surface area of the dish.
相關試卷
114年 - 114 臺灣綜合大學系統_學士班轉學生考試試題:微積分A#137897
114年 · #137897
114年 - 114 臺灣綜合大學系統_學士班轉學生考試試題:微積分B#137819
114年 · #137819
114年 - 114 台灣聯合大學系統_學士班轉學生考試試題:微積分#137762
114年 · #137762
114年 - 114 台灣聯合大學系統_學士班轉學生考試試題:微積分#137761
114年 · #137761
114年 - 114 國立臺灣大學_轉學生招生考試_物理學系/土木工程學系/生物環境系統工程學系/生物機電工程學系:微積分(B)#137745
114年 · #137745
114年 - 114 國立臺灣大學_轉學生招生考試_數學系:微積分(A)#137744
114年 · #137744
113年 - 113 國立嘉義大學_轉學生招生考試試題_(全校):微積分#122986
113年 · #122986
112年 - 112 國立臺灣大學_碩士班招生考試題:微積分(D)#130254
112年 · #130254
112年 - 112 國立陽明交通大學_碩士班入學招生試題_統計學研究所﹕微積分與線性代數#130252
112年 · #130252
112年 - 112 國立嘉義大學_轉學生招生考試試題:微積分#123297
112年 · #123297