所屬科目:研究所、轉學考(插大)-微積分
(a)
(b)
5. (6 分) Use a linear approximation (or differentials) to estimate the number.
(a) ∫xsec2 xdx
(c)
(d)
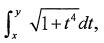
(a) Given f(x,y)=, find fx(x,y).(4分)
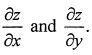
(b) Given x ln y+y2z+z2 =5, find
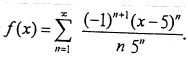
9. Find the interval of convergence of ∫f(x)dx, where (10分)