所屬科目:研究所、轉學考(插大)-微積分
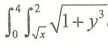
1. (1) Evaluate=________
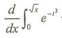
(2)Let . Then f'(1)=________.
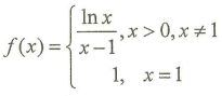
(4) If x>0,then dt=_______.
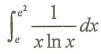
(5) Evaluate=_________.
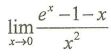
(6) Evaluate=________
(7) Evaluate=________.
(8) The radius of convergent of the power series is_________.
(9) Let f(x,y)=xey-yex. The gradient of fat (0,0) is ∇f(0,0)=_______.
(10) Evaluate dydx=_________.
(1) (8%) Prove that 1≤ an ≤2,and
(3) (6%) Find .