所屬科目:研究所、轉學考(插大)-微積分
(a) limx→c (x3 + 4x2 - 3)
(b) limx→c
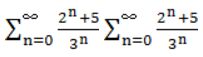
2. Evaluate .
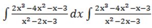
3. Use partial function to evaluate dx.
(a)
(b)
5. Find fx and fy as functions if f(x, y) .
6. If f and g are differentiable and f(x)g(y)=0 , find .
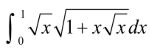
(a)(sin3 x cosx+sin x cosx)dx
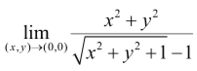
8. Compute if it exists.
9. Compute if it exists.
10.z=x2y+3xy4 , where x=sin 2t,y=cos t . Find when t =0.