所屬科目:研究所、轉學考(插大)-微積分
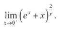
(a)
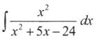
(b)
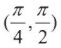
2. (8 points) Find an equation of the tangent line to the graph of x sin 2y = y cos 2x at the point.
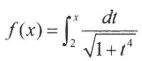
4. (8 points) Let . Find (f-1)'(0).
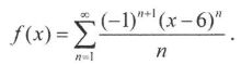
5. (12 points) Consider the function given by f(x) = Find the interval of convergence for f(x).
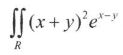
7. (12 points) Evaluate the double integral dA where R is the square with vertices (0,1), (1,0), (2,1), (1,2).