所屬科目:研究所、轉學考(插大)-微積分
(b) (8 points)Find dy/dx if y=
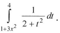
3.(8 points)Evaluate the integral.
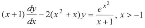
4.(12 points)Solve the equation given the initial condition y(0) = 5.
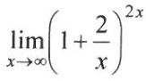
(a) (6 points)Find .