所屬科目:研究所、轉學考(插大)-微積分
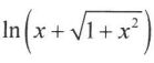
1. (10分) If y =, find the value of as x = 0.
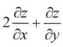
2. (10分) If z = f(x - 2y), find the value of .
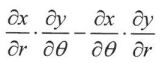
3. (10分) If x = rcosθ and y = rsinθ, find the expression of .
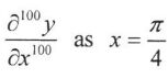
4. (10分) If y = sin(2x), find the value of .
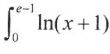
5. (10分) Find the value ofdx.
7. (10分) Find the value of.
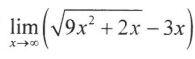
8. (10分) Find the value of lim.
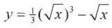
9. (10分) Find the arc length of the curvewith x ∈ [0, 9].
10. (10分) Find the area of the region bounded by with 0 ≤ θ ≤ 2π.