所屬科目:研究所、轉學考(插大)-微積分
(b). Use part (a) to find the sum of the series .
4. Find the interval on which the curve is concave upward.
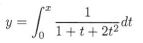
5.(a) Find the limit
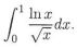
Calculate .
(a)
(b)