所屬科目:研究所、轉學考(插大)-微積分
1.Find .(10分)
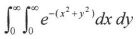
3. Find . Hint: Use the polar coordinate system. (10 分)
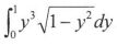
5. Find .
6. Find In x dx. This is the area of the region bounded by the graph of y= xInx and the x axis.(15分)
7. Find the directional derivative of the function f(x,y)=(x+y)/(x-y) at point (1,-1) in the direction v=.(10分)