所屬科目:研究所、轉學考(插大)-微積分
1. Find [(sec x+tan x)3],
2. Find cos t dt].
3. Find ∫sec2 x sin(tan x)dx
4. Find where a is a positive real number and a≠1 .
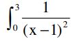
5. Find dx.
6. ln(xy)+xy=5 . Find .
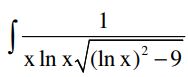
7. Find dx.
8. Find .
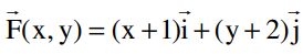
10. is a vector field. Prove is conservative.