所屬科目:研究所、轉學考(插大)-微積分
1. Find(5%)
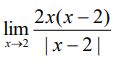
3. Find f '(0) if =2x(5%)
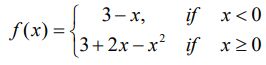
5. Determine the local extreme values for the following function:(10%)
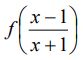
(2) Let f-1be the inverse function. Find the value of (5%)
(1)(5%)
(2) ∫ (sin2x- csc2x ) dx(5%)
(3) (5%)
(1) (5%)
(2) r =1+cosθ 0≤θ≤π(5%)
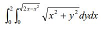
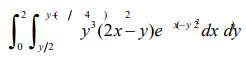
9. Use the transformationx=u+v , y=v to evaluate the integral by first writing it as an integral over a region G in the uv-plane. (20%)