所屬科目:工程數學(應用數學, 線性代數、微分方程、複變函數與機率)
2 試問向量 於一子空間 Span之正交投影(orthogonal projection)向量為何?(A)(B)(C)(D)
3 假設 A ∈ R 3×3 , B ∈ R 3×3 ,且 I 為三階單位矩陣,已知⎥ A⎥ = −4 ,⎥ B ⎥= 6 ,請問 =? (A)12 (B)48 (C)192 (D)768
4 假設矩陣 A =,則下列何者正確?(A)A 為正交矩陣(orthogonal matrix) (B)A 的反矩陣不存在 (C)A 的行列式值 ⎥A⎥ = 2 (D)A 為奇異矩陣(singular matrix)
5 A=,求 rank ( A) = ? (A)3 (B)4 (C)1 (D)2
7 下列何者為複數函數 e z = 1 − i 的根?其中。 (A) (B) (C) (D)
8.假設路徑 C 為一逆時針方向的圓形封閉路徑的邊界,其數學定義式為,求 之值 C 為何? (A)0 (B) 2π i (C) − 2π i (D) 4π i
9 假設積分路徑是所標示的積分上下限之間的任意軌跡,求的值為何? 1− i 1+ i (A)1 (B) (C)0 (D)
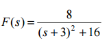
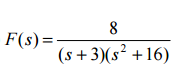
10 函數 f (t ) 之拉氏轉換(Laplace Transform)為 F ( s ) = L[ f (t )] ,若 f (t ) = 2e −3t cos 4t ,則下列何者正確? (A) (B) (C) (D)
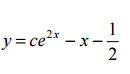
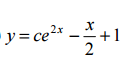
11 求解微分方程 y ′ = 2 y + 2 x ,其解為: (A) (B) (C) (D)
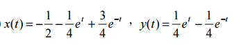
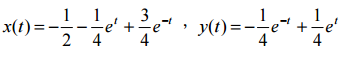
12 求 x′ + 2 y ′ − y = 0 , x′ + y = e −t , x(0) = y (0) = 0 之解: (A) (B) (C) (D)
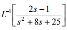
13 試求反拉氏轉換(Inverse Laplace Transform)? (A) 2 cos 3t − 3sin 3t (B) 2e −3t cos 3t − 3e −3t sin 3t (C) 2e −4t cos 3t − 3e −4t sin 3t (D) 2e −4t sin 3t − 3e −4t cos 3t
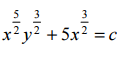
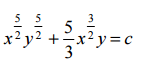
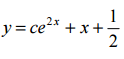
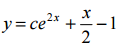
14 求 之通解?(選項中 c 為任意常數)(A) (B) (C) (D)
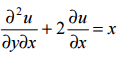
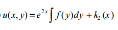
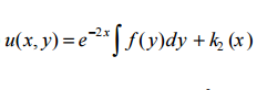
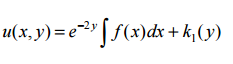
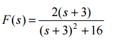
15 求偏微分方程式 u xy − 2u x = 0 之解?(選項中 k1 ( y ) 為 y 的函數, k 2 ( x) 為 x 的函數)(A) ∫ (B) (C) ∫ (D)
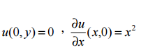
16 給定一偏微分方程式為,且 ,試問當 x = 1 , y = 0 時, u ( x, y ) = ? (A) (B) (C) (D)
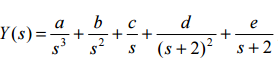
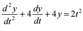
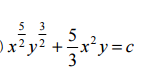
17 令 y (t ) 為 微 分 方 程 式 之 解 , 其 中 y (0) = y ′(0) = 0 。 若 為 y (t ) 之拉氏轉換,其中 a,b,c,d,e 為常數,求 a + d 值? (A) −1 (B) (C) (D)
19 連續隨機變數 X 與 Y 之結合機率密度函數( joint probability density function )為 ,試求 P ( X ≤ 2Y ) ?(A)0.25 (B)0.5 (C)0.75 (D)1
20 兩離散隨機變數 X、Y 之結合機率 P( X = x, Y = y ) 如下表,則協方差(covariance) Cov ( X , Y ) = ? (A)0.2 (B)0.3 (C)0.4 (D)0.5
⑵求以三個向量 為邊所展開的平行六面體之體積?(5 分)
⑴二項式機率分布; 0 < p < 1, 0 ≤ k ≤ n 。(5 分)
⑵ Poisson 機率分布; k = 0,1,2, …。(5 分)