阿摩線上測驗
登入
首頁
>
工程數學(應用數學, 線性代數、微分方程、複變函數與機率)
>
105年 - 105 地方政府特種考試_三等_電力工程:工程數學#58742
> 申論題
題組內容
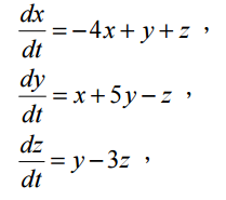
四、給定線性微分方程組:
該方程組可表示為矩陣形式
,其中
⑵將該方程組之解用上述之特徵值及特徵向量表示。(4 分)
相關申論題
⑴求三角形 ΔP1 P2 P3 之面積?(5 分)
#231872
⑴證明該積分式之解答與積分路徑 C 無關。(4 分)
#231874
⑵求該積分式之不定積分解答?(4 分)
#231875
⑶若積分路徑 C 之起點為 (1,1,1) 、終點為 ( 2,1,4) ,求該積分式之數值結果為何?(2 分)
#231876
⑴ 0 < | z − 1 | < 2 。(5 分)
#231877
⑵ 0 < | z − 3 | < 2 。(5 分)
#231878
⑴求矩陣 A 之特徵值及對應的特徵向量?(6 分)
#231879
(二)求得矩陣 A 之零空間(Null Space)N( A )。(10 分)
#557492
(一)求得線性方程式 Ax=b 之完整解(Complete Solution) 。(20 分)
#557491
四、假設週期函數f(x)之週期為 2π,f(x)=。計算f(x)之傅氏級數(Fourier Series)。(20 分)
#557490
相關試卷
114年 - 114 專技高考_電機工程技師:工程數學(包括線性代數、微分方程、複變函數與機率)#133679
114年 · #133679
114年 - 114 專技高考_電子工程技師:工程數學(包括線性代數、微分方程、向量分析、複變函數與機率)#133677
114年 · #133677
114年 - 114 調查特種考試_三等_電子科學組:工程數學#129578
114年 · #129578
114年 - 114 國家安全情報特種考試_三等_電子組(選試英文):工程數學#127780
114年 · #127780
113年 - 113 專技高考_電子工程技師:工程數學(包括線性代數、微分方程、向量分析、複變函數與機率)#123976
113年 · #123976
113年 - 113 專技高考_電機工程技師:工程數學(包括線性代數、微分方程、複變函數與機率)#123971
113年 · #123971
113年 - 113 調查特種考試_三等_電子科學組:工程數學#122110
113年 · #122110
113年 - 113 身心障礙特種考試_三等_電力工程:工程數學#119517
113年 · #119517
112年 - 112 地方政府特種考試_三等_電力工程、電子工程:工程數學#118376
112年 · #118376
112年 - 112 專技高考_電機工程技師:工程數學(包括線性代數、微分方程、複變函數與機率)#117639
112年 · #117639