所屬科目:研究所、轉學考(插大)-微積分
(a)
(b)
(c)
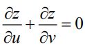
(b)y=10x+tan x3 . [2] If u= f(x,y), x = u-v , y =v- u , show that.
(a) cos x xdx
(b)dx
(d) ∫x cos xdx
(a) Find the gradient ∇f ( x,y)