所屬科目:研究所、轉學考(插大)-微積分
(a)
(b)
(b)g(x)=x2(3x2+2)2
(c)h(x)=
3. Find the absolute extrema of the function f(x)= on [2,5].
(c)
5. It is found that the Lorenz curve for the distribution of income of college teachers is described by the function Compute the coefficient of inequality for the Lorenz curve (the Gini Index of Lorenz curve).
7. Evaluate the double integral for the function f(x,y)= and the region bounded by y=x,y=2x and y=.
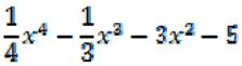
9. Determine the relative extrema of the functionf(x)=using the second derivative test.