阿摩線上測驗
登入
首頁
>
警專◆乙組數學
> 105年 - 105 臺灣警察專科學校_專科警員班第 35 期正期學生組:乙組數學#51669
105年 - 105 臺灣警察專科學校_專科警員班第 35 期正期學生組:乙組數學#51669
科目:
警專◆乙組數學 |
年份:
105年 |
選擇題數:
40 |
申論題數:
0
試卷資訊
所屬科目:
警專◆乙組數學
選擇題 (40)
1. 設 a = log
2
3,b = log
3
11,下列選項何者表示 log
22
33 ? (A)
(B)
(C)
(D)
。
2. 已知△ ABC 是邊長為 2 的正三角形,則向量內積
的值為下列哪一個選項? (A) −2 (B) −1 (C) 1 (D) 2 。
3. 設 x 為實數,若同時滿足|x − 3| ≤ 2,|x − 1| ≤ 2 之 x 的範圍可以寫成|x − a| ≤ b,則數對(a,b)為下列哪一個選 項? (A) (1,2) (B) (−1,2) (C) (−2,1) (D) (2,1) 。
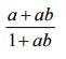
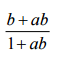
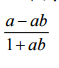
4. 設 x,y 是兩有理數,已知
,則數對(x,y)為下列哪一個選項? (A) (1,2) (B) (−1,2) (C) (2,1) (D) (−2,1) 。
5. 多項式 f (x) = (1 − x) + (1 − x)
2
+ (1 − x)
3
+ … + (1 − x)
10
展開式中 x
2
項的係數為下列哪一個選項? (A)165 (B) − 165 (C) 330 (D) − 330 。
6. 在動物園內部的環園小火車有 ABCDEFG ,,,,,, 共 7 節車廂。若打算將其中 3 節車廂漆上相同的無尾熊圖 樣,2 節車廂漆上相同的貓熊圖樣,2 節車廂漆上相同的臺灣黑熊圖樣,則車廂漆法數為下列哪一個選項? (A)55(B)75 (C) 210 (D) 420 種。
7. 在下圖中,有一正方形 ABCD,M 為
中點,且∠MAC = α ,則 cosα 的值為下列哪一個選項? (A)
(B)
(C)
(D)
。
8. 坐標平面上有三點 A (1 , 1),B (2 , 3),C ( − 1 , 4),若
且 − 1 ≤ r ≤ 1, − 1 ≤ s ≤ 1 則 P 點所在區域之面積為下列哪一個選項? (A) 28 (B) 14 (C) 7 (D) 4 。
9. 三角形 ABC 內接於半徑為
之圓,已知∠A = 60°,則
的長為下列哪一個選項? (A)
(B) 3 (C)
(D) 2 。
10. 坐標平面上有一點 A(3 , 0),則 A 對稱於直線 L:x − 2y + 2 = 0 的對稱點坐標為下列哪一個選項? (A) (1 , 4) (B) (4 , −2) (C) (0 , 6) (D) (1 , −2) 。
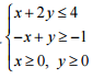
11. 坐標平面上,滿足
的條件下,若 −2x + y 的最小值為 m,則 m 的值為下列哪一個選項? (A) 0 (B) −2 (C) −3 (D) 1 。
12. 設 x,y 為實數,且 x
2
+ y
2
=1 ,則 − 3x+ 4y 之最小值為下列哪一個選項? (A) −5 (B) −10 (C) −2 (D) 5 。
13. 下列有關空間的敘述,何者正確? (A) P(a,b,c)對 yz 平面的對稱點為(a, −b, −c) (B) 點 P(a,b,c)到原點的距離為
(C) 點 P(a,b,c)到 x 軸的距離為a (D) 垂直 x 軸的平面上,任二點的 x 坐標皆相等。
14. 坐標空間中,通過原點且與平面 2016x +2017 y + 2018z = 2019 平行之平面 E 的方程式為下列哪一個選項? (A) x + y + z = 0 (B) 2016x +2017 y + 2018z =2015 (C) 2016x +2017 y + 2018z = 0 (D) 2016x +2017 y + 2018z = 2019 。
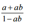
15. 已知
x =a,y =b ,z=c
, 為其中一組滿足方程組
的解,則下列選項何者為
− 8a-b-c
的值? (A) 條件不足,答案不一定 (B) 4 (C) 3 (D) 0 。
16. 假設有一位學生,他每天放學回家的方式有坐捷運或公車兩種選擇;已知若他今天選擇坐捷運,則他在明 天有 70%坐公車回家,若他在今天坐公車,則他在明天有 40%捷運回家,已知他在星期一坐捷運回家, 則他在星期三(同一星期)坐捷運回家的機率為下列哪一個選項? (A) 0.3 (B) 0.37 (C) 0.63 (D) 0.7 。
17. 函數
+2016 的週期為下列哪一個選項? (A) π (B) 2π (C)
(D)
。
18. 設在不同的抽樣調查中,分別訪問 1400 人,得樣本滿意度比例
。在 95%的 信心水準下,下列選項中何者的信賴區間最長﹖ (A)
(B)
(C)
(D) 一樣長 。 (95%的信心水準下的抽樣誤差為
,其中
表示滿意度比例,n為抽樣人數)
19. 下列各無窮數列的極限,哪一個選項為收斂數列? (A)
(B)
(C)
(D)
。.
20. 如下圖所示,直角△ABC 的兩股長為
,依次在三角形內作內接正方形 S
1
,S
2
,S
3
,…, 則所有內接正方形的面積總和為下列哪一個選項? (A) 4 (B) 6 (C) 9 (D) 12 。
21. 在 1 到 100 的自然數中(共 100 個數),不為平方數(如 1,4,9,…),亦不為立方數(如 1,8,27,…) 者共有幾個? (A) 87 (B) 88 (C) 89 (D) 90 。
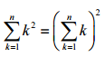
22. 關於 ∑ 的運算,下列選項何者正確? (A)
(B)
(C)
(D)
23. 如下圖所示,已知 O 為正六邊形 ABCDEF 的中心,令
,下列選項何者正確? (A)
(B)
(C)
(D)
24.設 F
1
與 F
2
為坐標平面上雙曲線 Γ ﹕
的兩個焦點,P 為 Γ 上一點,且
,則△ PF
1
F
2
的面積為下列哪一個選項? (A) 12 (B) 24 (C) 36 (D) 48 。
25.有 10 筆數據(
xi,yi
),i = 1,2,…,10,已知
,且 y 對 x 的迴歸直線通過點(3,0), 則 y 對 x 的迴歸直線之方程式為下列哪一個選項? (A) y = 3x − 9 (B) y = 4x − 12 (C) y = 2x − 6 (D) y = 5x − 15 。
重新載圖
26. 在 10 個數據中,有 8 個為 1,其餘為 0,則這 10 個數據的標準差為下列哪一個選項?
(A) 0.1 (B) 0.2 (C) 0.3 (D) 0.4 。
27.投擲一枚不均勻硬幣,出現正面的機率為
,出現反面的機率為
。今丟擲此硬幣 8 次,若 X 表示出現正 面的次數,則 X 的期望值為下列哪一個選項? (A) 9 (B) 8 (C) 7 (D) 6 。
28. 設 A 與 B 為獨立事件,且
。則 P(B'|A') 的值為下列哪一個選項? (A)
(B)
(C)
(D)
。
29. 算式(log
3
4
+ log
9
2
)( log
4
9
+ log
8
27 )的值為下列哪一個選項? (A) 5 (B)
(C) 10 (D) 1 。
30. 算式
的近似值到小數點以下第二位為下列哪一個選項? (第三位四捨五入) (A) 4.95 (B) 4.97 (C) 4.99 (D) 5.01 。。
複選題
31. 設
a > 0,a ≠ 1
,關於函數
f(x) = a
x
,請選出正確的選項﹕ (A) f(x)的圖形恆過點(1,0) (B) f(x)的圖形與 y 軸不相交 (C) 方程式 f(x)=2016 恰有一實根 (D) 圖形與任一條鉛垂線相交 (E) 若 α < β,則 f(α) < f(β)。
複選題
32. 設 x = 3
100
,下列關於 x 的敘述,請選出正確的選項﹕(log 2 ≈ 0.3010﹐log 3 ≈ 0.4771) (A) x 為 47 位數 (B) log 48 x ≤ (C) x 的首位數字 5 (D)
(E)
化為小數後,在小數點後第 47 位始出現不為 0 的數字 。
複選題
33. 坐標平面上,有一個拋物線 Γ:y = x
2
,關於 Γ 的敘述,請選出正確的選項﹕ (A) Γ 的圖形與 y =2
x
的圖形有三個交點 (B)Γ 對 x 軸的對稱圖形方程式為 y = − x
2
(C)Γ 對 y 軸的對稱圖形方程式為 y = x
2
(D)Γ 對原點的對稱圖形方程式為 y = − x
2
(E)Γ 向右平移 1 單位,向下平移 2 單位的圖形方程式為 y = x
2
−2x −1 。
複選題
複選題
34. 設 f (x)為三次實係數多項式,且知複數 1 − i 為方程式 f (x) = 0 的一根。請選出正確的選項﹕ (A)f (1 + i) = 0 (B)f (2016 + i) = 0 (C)方程式 f (x) = 0 可能沒有實根 (D)多項式 f (x)可被 x
2
− 2x + 2 整除 (E)若 f (−1+ 2i) = − 2 + 5i,則 f (−1 − 2i) = 2 + 5i 。
複選題
35. 請選出答案與組合數
的值相等之選項。 (A) 方程式 x + y + z + u = 6 的正整數解的組數 (B) 從 6 類相異的物品中(每類多於 4 件),選出 4 件(可重複選取)的方法數 (C) 從九人中選出 6 人的選法數 (D)
展開式中 x
6
的係數 (E) 6 件相同的物品,任意放到 4 個不同的箱子(物品全放完)的方法數。
複選題
36. 平面上,設兩非零向量
,請選出正確的選項﹕ (A)內積
(B)內積
(C)若
(D)若
(E)
複選題
37.關於橢圓
,請選出正確的選項﹕ (A)橢圓中心在(0,0) (B)長軸長為 5 (C)短軸長為 4 (D)焦點到中心的距離為 6 (E)若點(x
0
,y
0
)在橢圓上,則點( − x
0
, − y
0
)也在橢圓上﹒
複選題
38. 關於圓(x +2) 2 + y 2 = 4 的敘述,請選出正確的選項﹕ (A) 圓心(2 , 0) (B) 半徑為 4 (C) 點(0 , 0)在圓上 (D) 原點與圓心的距離為 4 (E) 此圓與 y 軸恰交於一點。
複選題
39. 設 A、B 皆為 2 階方陣,且 I 是 2 階單位方陣,請選出正確的選項﹕ (A) 若
(B) A
2
− B
2
= (A + B)(A − B) (C) (AB)
2
=A
2
B
2
(D) (A+I)
2
=A
2
+2A+I (E) 若 A 有反方陣,則其反方陣只有一個﹒
複選題
40.在重複丟一個均勻硬幣 10 次的試驗中,下列各敘述,請選出正確的選項﹕ (A)一定會出現 5 次正面 (B)恰出現 5 次正面的機率為
(C)出現正面次數的期望值為 5 次 (D)出現 4 次正面的機率等於出現 6 次正面的機率 (E)不可能連續出現 10 次反面﹒
申論題 (0)
相關試卷
114年 - 114 臺灣警察專科學校_專科警員班第 44 期正期學生組新生入學考試試題:數學科(乙組)#129086
114年 · #129086
113年 - 113 臺灣警察專科學校_專科警員班第 43 期正期學生組新生入學考試:乙組數學科#124570
113年 · #124570
112年 - 112 臺灣警察專科學校_專科警員班第42期正期學生組新生入學考試:數學科(乙組)#116875
112年 · #116875
111年 - 111 臺灣警察專科學校專科警員班第 41 期正期學生組新生入學考試:數學科(乙組)#110139
111年 · #110139
111年 - 111 臺灣警察專科學校_專科警員班第 33 期正期學生組:乙組數學#18934
111年 · #18934
110年 - 110 臺灣警察專科學校_專科警員班第 40 期正期學生組:乙組數學#114969
110年 · #114969
109年 - 109 臺灣警察專科學校_專科警員班第 39 期正期學生組:乙組數學#85675
109年 · #85675
108年 - 108 臺灣警察專科學校_專科警員班第 38 期正期學生組:乙組數學#79161
108年 · #79161
107年 - 107 臺灣警察專科學校專科警員班37期正期學生組新生入學考試試題:乙組數學科#98834
107年 · #98834
106年 - 106 臺灣警察專科學校警員班36期新生入學考試:乙組數學科#98988
106年 · #98988