所屬科目:技檢◆化工-乙級
119. 正庚烷 A 與甲苯 B 混合液的蒸氣壓於 373 K 時為 101.3 kPa,已知,求 及 為 何(A) XA=0.76,YA =0.54(B) XA=0.85,YA =0.89(C) XA=0.92, YA=0.82(D) =0.68, XA=0.86。
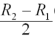
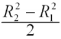
162. 某流體沿水平套管中流動,已知內管半徑與外管半徑分別為 R 與 R 。若依據水力半徑(hydraulic radius)= 且不計入內外管管壁厚度,則套管中流動的水力半徑為(A)(B) (C) (D) 。
178. 圓管中流體流動型態常利用雷諾數(Reynold snumber)判別,雷諾數的定義為 ,其中 D 為圓管直徑(m); μ 為平均速度(m/s);ρ 為流體密度(kg/m3 ),試問 μ 之單位為何(A)kg/m(B)kg/s(C)kg/m·s(D)kg·m/s。
188. 若熱傳關係式q= ,其中 κ 表導熱度(thermal conductivity),下列敘述何者正確(A)式中負號表熱流方向 與溫度梯度方向相反(B)熱傳方向是從低溫傳至高溫(C)該式為熱對流關係式(D)κ 值大小與溫度無關。