所屬科目:研究所、轉學考(插大)-微積分
1. (10 points) Given a curve C in defined by
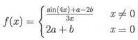
4. (10 points) Evaluate the following integral:
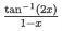
5. (10 points) From the equation
Solvein terms of x and y
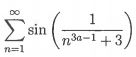
6. (10 points) Find all values of a so that the series is divergent.
7. (10 points) Compute the following improper integral
8. (10 points) Compute the line integral
where
and C is the closed loop formed by traveling from (-2,0) to (4,0) to (3,3) to (-1,3) and back to (-2,0) by straight lines.
9. (10 points) Given the function F :At (0,0,0), find the direction along which the function decreases most rapidly and find the corresponding rate of change.
10. (10 points) A rectangular box is formed by cutting four equal corners from a square of side 3 and then folding up (see the figure below). Find the maximum possible volume of the box.