所屬科目:研究所、轉學考(插大)-微積分
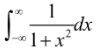
1. 求 =__________。
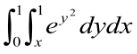
2. 求=__________。
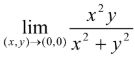
3. 求=__________。
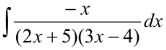
4. 求=__________。
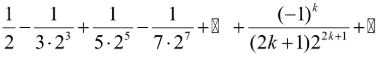
5. 求=__________。
6. 給定f(x)=(2x2-8)5 ,求f''(2)=__________
7. 兩函數圖形f(x)=2-x2與g(x)=x所圍成有界區域面積為__________。
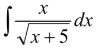
8. 求=__________
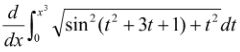
9. 求=__________
10. 求=__________
二、計算題:1. 求函數f(x,y)=x2+2y2-2x+3在x2+y2=10的條件下之最大值。
2. 求f(x)=ln(1-x)以x=0為中心的泰勒級數。
3. 請判斷級數是否收斂,並說明你的理由。
4. 求=__________