所屬科目:研究所、轉學考(插大)-微積分
1. 求=________ 。
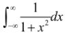
2. 求=_________。
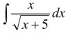
3. 求=_________ 。
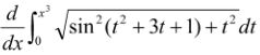
4. 求=_________。
5. 求=_________。
6. 給定f(x)=(2x2-8)5,求f''(2)=________。
7. 兩函數圖形f(x)=2-x2與g(x)=x所圍成有界區域面積為__________。
8. 求=_________。
9. 求=__________。
10. 求=__________。
二、計算題:1. 求函數f(x,y)=x2+2y2-2x+3在x2+y2=10的條件下之最大值。
2. 求f(x)=ln(1-x)以x=0為中心的泰勒級數。
3. 請判斷級數是否收斂,並說明你的理由。
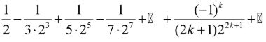
4. 求=__________