所屬科目:研究所、轉學考(插大)-微積分
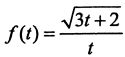
(a)
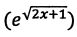
(b)
(a) f(4)=?, where f(x) = In
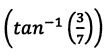
(b) sin=?
(a)Find ∇f(x,y)the gradient of f(x,y).(5分)
(c) Evaluate Duf(1,2) the directional derivative of f(x,y) at (1,2) in the direction of the unit vector.(5分)
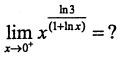
(a) .(5分)
(b), where R is the triangular region with vertices (0,0), (4,4) and (6,0). (5分)
(c)(6分)
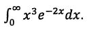
8. Evaluate . (6分)
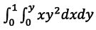
10. Evaluate dA. where R = f{x,y}|1 ≤ x +y ≤2,x≥0,y≥0}. (7分)