所屬科目:研究所、轉學考(插大)-微積分
I. (50 points) Fill in the following blanks.
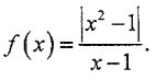
1. The value of is__(1)__.
2. Using implicit differentiation, we can obtain the tangent line to the curve sin x+ cosy=1 at point , i.e., __(2)__.
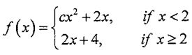
4. Suppose function is continuous on (-∞, ∞). Then, the value of constant c is__(4)__.
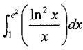
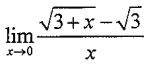
7. Evaluate=__(7)__.
8. Suppose y=3x-7 and x≥0. Then, the minimum value of x2y is __(8)__, and themaximum value of x2y is__(9)__.
9. Let Then, f has a local maximum at x= __(10)__.
3.Given p>0, the series of will diverge when the values of pis __(3)__.
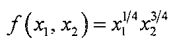
4.Use quadratic Taylor's expansion to approximate the Cobb-Douglas function at point (1, 1). Then, f(1.1,0.9) equals__(4)__.
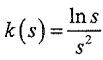
5.Let Suppose y=x1+x2.Then, f(y)=__(5)__.