所屬科目:研究所、轉學考(插大)-微積分
(a)
(b)
2.Find the area of region bounded by the curve: y=x3-6x2+8x and x-axis.
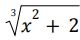
(a) Let y= and u=, find.
(b) Given x2 y-xy2+x2+y2=0, find .
4.Find
(a)the critical points.
(b)the interval on which f is increasing.
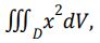
6.Determine the following series for convergence or divergenceEvaluate where D is bounded by |x|=1,z=x2-y2 and z ≥ 0.
7.Find the equation of the tangent plane to the surface x2-2y2+z2+yz-2=0at the point (2,1,-1).