所屬科目:研究所、轉學考(插大)-微積分
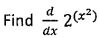
1.=?(10%)
2.=?(10%)
4. Find the arc length determined by the curve y= over 1≤ x< 2. (10%)
5.=? (10%)
6.=?(10%)
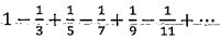
7. =? (10%)
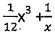
9. dx=?(10%)
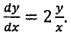
10. y=f(x) satisfies When x=1, y=2, what is f(x) ? (10%)